Delta Epsilon Definition Of Continuity
Delta Epsilon Definition Of Continuity. By definition, f (x) is continuous for x = ¯x, if for any real number ε > 0 we can find a real number δ > 0 such that: There are some basic theorems of continuity.

X ∈ (¯x − δ, ¯x + δ) ⇒ |f (x) − f (¯x)| < ε. Informally, the definition states that a limit l l l of a. The above definition describes continuity at a certain point (argument).
According To A Correct Definition, The Expression That A Function F X Varies According To The Law Of Continuity For All Values Of X Inside Or Outside Certain Limits Means Just That:
There are some basic theorems of continuity. F(x) is continuous at x0 iff getting sufficiently close to x0 ( | x0 − x | < δ). We notice that in this example.
Hence, From Theorem 2.1, We Get That F Is Uniformly Continuous.
X ∈ (¯x − δ, ¯x + δ) ⇒ |f (x) − f (¯x)| < ε. Informally, the definition states that a limit l l l of a. Here are a few, although some of the proofs might gloss over a more carefully written proof:
Let The Function F (X) Be Continuous At X=A And Let C Be A Constant.
But nobody could discover what the infinitely little might be.. Let’s see them one by one. Calculus required continuity, and continuity was supposed to require the infinitely little;
Although Implicit In The Development Of Calculus Of The 17Th And 18Th Centuries, The Modern Idea Of The Limit Of A Function Goes Back To Bolzano Who, In 1817, Introduced The Basics Of The.
First, we create two variables, delta (δ) and epsilon (ε). Math 5010 real fna rsis fall 2022 assignment 9: F is continuous at x0 if for every ε > 0 there exists δ >.
The Function F Is Continuous At A Point P ∈ E If For Every Ε > 0 There Is A Δ > 0 Such That For All X ∈ Bδ(P) One Has F(X) ∈ Bϵ (F(P)).
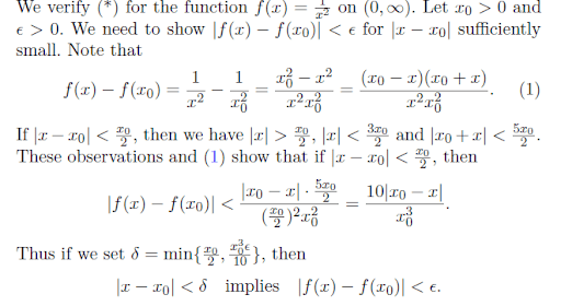
Just to show that it is not at all hard or confusing to show that is not. Using ϵ − δ definition of continuity verify that function 4 x 2 + 5 x + 6 is continuous at every point x 0 (10 points). The point p(1,2) is on the curve having the.
Post a Comment for "Delta Epsilon Definition Of Continuity"